This Page

has moved to a new address:

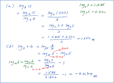
Nota Ulangkaji SPM Matematik Tambahan Tingkatan 4/Tingkatan 5: 5.2b Penukaran Asas Logaritma (Contoh Soalan)

Sorry for the inconvenience…

Redirection provided by Blogger to WordPress Migration Service